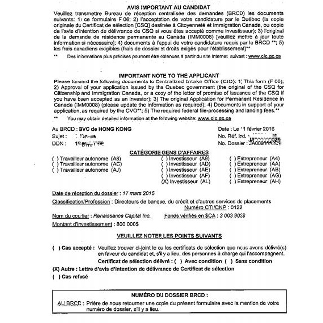
又向大家播报喜讯了!客户李先生(化名)去年3月递表,今年2月就接到了顺利批准通过的好消息。自从递表后无需任何补件直接免面试通过,李先生觉得自己真的选对了魁省投资移民这个项目,并向 移民顾问团队表示衷心的感谢!



背景介绍
李先生是本科学历,至今已有三十年的工作经验,在金融这一行业可谓高瞻远瞩!在这三十年里,他先后在两大知名银行分行任职,凭借自身的努力,从行员到高层,步步晋升。他与太太的名下共有七套房产,遍布在各市区,个人总资产实力相当雄厚。
在繁忙的工作之余,他们全家喜欢假期的时候到世界各地旅游,看看外面的风景,包括加拿大、澳洲、南非、俄罗斯、日本……其中,加拿大是给他们全家人留下印象最为深刻的国家。某天,上初中的儿子抱怨着越来越繁重的学业,李先生也正为工作上的难题愁绪万千时,李太太不经意地说了句:“还是喜欢加拿大啊,环境优美,心情舒畅,在那里生活倒也惬意。”李先生开始思考,为何没想过移民呢?或许可以让儿子去加拿大读书,全家人换种生活方式。没想到,这个想法得到了太太和儿子的一致赞同,于是开始着手准备。
移民顾问向他们推荐了魁省投资移民,申请条件相对有优势:拥有超过160万加币的净资产;资产是通过合法商业努力所得;最近5年中有2年以上企业管理经验,承认部门经理管理的经验;投资80万加币(5年后政府归还本金,无利息)或投资22万加币一次性支付不返还),两种方式任选其一;申请人全家符合体检要求及安全背景调查要求,且全家没有犯罪记录。李先生认真考虑,认为自己完全符合条件,而且对 的专业度深信不疑,决定与我司签约。由于移民顾问与李先生的默契配合以及准备完善,自从递表后无需任何补件直接免面试通过。 衷心恭喜李先生全家实现移民加拿大的梦想!
申请过程
2015年1月 与 签约
2015年3月 递表
2016年2月 免面试批准通过
020-87321000
广州市先烈中路69号东山广场18楼
info@gasheng.com
400-930-2818
上海市浦东新区东亚银行金融大厦819室
shanghai@gasheng.com
180 0221 8681
肇庆市端州区康乐北路月醇MOON LOUNGE
0755-89507025
深圳市深南大道星河世纪大厦A栋11楼
(与彩田路交界)
852-53102786
香港德辅道中107-111号余崇本行15楼1501室
604-2731395
#1100-8181 Cambie Road Richmond,
B.C. Canada (V6X 3X9)
416-8387433
1455 16th Avenue, Suite #201 Richmond Hill, Toronto, O.N. Canada
650-5585200
1528 S. El Camino Real Ste. 110
San Mateo CA 94402
版权所有 Copyright©1989-
全国24小时免费咨询热线:400-930-2818 传真:020-87321120
备案号:粤ICP备06005386号